Solid Polymer Electrolytes (SPE):  fundamentals & novel polymer synthesis

Fundamentals of polycarbonate-based SPE


 

     Tominaga Group aims to create superior SPE that exhibits high ionic conductivity of 10-3 S/cm or higher at room temperature while making full use of the original characteristics as a flexible and lightweight polymeric material.  Ionic migration in SPE is governed by the glass transition temperature (Tg) based on the thermal motion of the polymer chain.  In order to express high ionic conductivity, it is necessary to select materials for improving the effective dissolution of carrier ions while suppressing the rise in Tg and improving techniques.  In the conventional ethylene oxide (EO) type SPE, a solvated structure is formed by strong interaction existing between dipoles of ether oxygen and cations (left figure), and carrier ions can be stably dissolved, whereas polyether significantly increase the Tg.  Development of a new polymer that does not form a solvated structure by a strong ion-dipole interaction as shown in the figure is desired.

 

     Tominaga Group focuses on polycarbonate type copolymers composed of carbon dioxide (CO2) and epoxide [1-7].  The left figure shows actual neat PEC and PEC-LiFSI electrolytes.  As the salt concentration increases, it changes from a solid film state to a gel state and it can be observed that it becomes soft [4, 7].  In the conventional polyether type SPE, the theoretical limit of ionic conductivity has been pointed out, and it is said that it is impossible to attain practically necessary values.  In addition, EO type polymers are hygroscopic and have low mechanical strength, so it is said that it is difficult to exploit applications.  Since the copolymer of this study is a molecular design which does not depend at all on the EO structure, it is thought to be based on a new ionic conduction mechanism and the possibility of exceeding the conventional ionic conductivity is fully expected.  Moreover, because it can overcome problems of hygroscopic property and mechanical strength, applicability as ionic material widens, which may lead to new application development.  On the other hand, from the point of using CO2 as a raw material, there is an advantage that materials can be produced under low environmental load.  It is thought that if you can effectively use CO2 emitted from the economic activities of modern society and obtain high value-added new materials, it will become a remarkable social and industrial research.

 
 

     The ionic conductivity and Tg change of PEO and PEC electrolyte with LiFSI dissolved are summarized in the left figure [4].  It can be seen that the PEO electrolyte exhibits typical amorphous polyether type behavior, in which the Tg rises with an increase in salt concentration and the ionic conductivity shows a maximum value (around 5 mol%).  Since the number of carrier ions increases due to the dissolution of the Li salt in PEO, the ionic conductivity rises to a certain degree of salt concentration range, but in the salt concentration range where the ionic conductivity shows the maximum value.  Since the increase in Tg due to the Li ion-dipole interaction is dominant, the ionic conductivity decreases.  On the other hand, it became clear that the PEC electrolyte behaves quite specific behavior quite different from the conventional polyether type.  It was found that the conductivity greatly increased with increasing salt concentration, and Tg decreased linearly [4, 7].  Furthermore, we attempted to measure Li-ion transference numbers (t+) of PEC-LiTFSI electrolyte by using DC polarization method and complex impedance method .  As a result, it was found that t+ exceeded 0.5 in PEC-LiTFSI (60 wt% or more) sample [3].  Interestingly, it was also found that t+ of this PEC-LiFSI electrolyte rises with increasing salt concentration [4].  Although t+ of the conventional polyether type electrolyte and the like is comparatively high as about 0.5 in the low salt concentration range, it has been reported that it is greatly affected by the increase in salt concentration and rapidly decreases to about 0.1 to 0.2.  Together with an increase in ionic conductivity due to an increase in salt concentration, this CO2/epoxide copolymer may give a polar environment suitable for the movement of cations (Li+).  It was also found that the t+ value was further improved by filling with TiO2, and it was the highest value of 0.8 for simple addition of salt as a byion conductor [4].  In the existing polyether type, the t+ value is generally low (about 0.1 to 0.4) since it forms a structure in which Li+ is strongly solvated by strong Lewis basic interaction of ether oxygen.  The extremely high t+ value of such a polycarbonate type electrolyte indicates that Li ion is responsible for most of the charge transfer and is a collaboration comparable to a single ion conductor.  This is extremely useful for practical application as a battery electrolyte in the future.

 
 
 

     From the broadband dielectric spectroscopic measurements at 40 °C for PEC-LiTFSI electrolytes, large relaxation of electrode polarization reflecting the movement of ions appears on the low frequency side of kHz or less, derived from the segment motion of the polymer on the high frequency side of kHz or more [1, 2].  From the comparison of the salt concentration dependence of the dielectric loss peaks of PEC and polyether type electrolytes, two kinds of peaks (α relaxation derived from segment motion, β relaxation derived from some local motion) were observed in the PEC electrolyte.  The behavior of PEC type electrolyte is greatly different from that of polyether type, and the peak of α relaxation increases as salt concentration increases, as shown in the left figure, and for the first time clarified that it shifts to high frequency side at high concentration [2].  In addition, as a result of consideration of the factor causing the decrease in Tg due to increase in salt concentration, the following was found out.  Measurement of two kinds of dielectric relaxation peaks, fast segment motion (αfast) not interacting with ions and slow segment motion (αslow) with reduced mobility by forming a stable solvation structure with dissolution of salt, there were two major differences between conventional polyether and polycarbonate electrolyte [1].  One is that in the case of the polycarbonate type, the mobility of the polymer is improved at a high concentration, whereas in the case of the polyether type the mobility is lowered and the other is the area of ​​the whole peak (the magnitude of the dielectric relaxation Equivalent) is greatly improved with polycarbonate type.  These are considered to be involved in the rigidity of the polymer chains.  In polycarbonate, since rigidity is maintained by hydrogen bonding inside and outside the molecule, relaxation becomes small at low concentration, whereas at high concentration, interaction between them is cut by Li ions, resulting in polyether It is thought that flexibility and dielectricity close to that of the material was developed.
*This study (broadband dielectric relaxation measurements of PEC-based electrolytes) is based on the collaborative research with Dr. Takeo Furukawa and Dr. Hidekazu Kodama, Kobayashi Institute of Science.

[References]

    1. J. Motomatsu, H. Kodama, T. Furukawa,Y. Tominaga*, Polymers for Advanced Technologies, 28 (3), 362–366 (2017).
    2. J. Motomatsu, H. Kodama, T. Furukawa*, Y. Tominaga*, Macromolecular Chemistry and Physics, 216 (15), 1660-1665 (2015).
    3. Y. Tominaga*, K. Yamazaki, V. Nanthana, Journal of The Electrochemical Society, 162 (2), A3133-A3136 (2015).
    4. Y. Tominaga*, K. Yamazaki, Chemical Communications, 50 (34), 4448-4450 (2014).
    5. Y. Tominaga, Y. Okumura, JP Pat. 2014-185195.
    6. Y. Tominaga JP Pat. 5610468.
    7. Y. Tominaga*, V. Nanthana, D. Tohyama, Polymer Journal, 44 (12) 1155-1158 (2012).

Electrochemical and structural characterization for polycarbonate-based SPE


 
In preparation.
  

[References]

    1. Y. Tominaga, Polymer Journal (Focus Review), 49 (3), 291-299 (2017).
    2. K. Kimura, J. Motomatsu, Y. Tominaga*, The Journal of Physical Chemistry C, 120 (23), 12385-12391 (2016).
    3. K. Kimura, J. Motomatsu, Y. Tominaga*, Journal of Polymer Science Part B: Polymer Physics, 54 (23), 2442–2447 (2016).

Synthesis of novel polycarbonates for SPE


 
In preparation.
  

[References]

    1. T. Morioka, K. Nakano, Y. Tominaga*, Macromolecular Rapid Communications, 38, 1600652 (2017).
    2. Y. Tominaga, Polymer Journal (Focus Review), 49 (3), 291-299 (2017).
    3. T. Morioka, K. Ota, Y. Tominaga*, Polymer, 84, 21-26 (2016).
    4. ナンタナーワンナサー, 富永洋一*, 高分子論文集, 70 (1), 23-28  (2013).
    5. M. Nakamura, Y. Tominaga*, Electrochimica Acta, 57, 36-39 (2011).
    6. Y. Tominaga*, T. Shimomura, M. Nakamura, Polymer, 51 (19), 4295-4298 (2010).

Effects of supercritical CO2 treatment on polyether-based SPE


 

     Substance usually takes one of solid state, liquid state or gas state.  The figure on the left shows the phase diagram of common pure substances.  Under the condition exceeding the critical point (Pc, Tc) peculiar to the substance, it has a state of both gas and liquid properties called supercritical fluid.  Carbon dioxide (CO2) becomes supercritical at relatively mild conditions (Tc = 31.1 °C, Pc = 7.4 MPa).  Since CO2 is inexpensive and harmless, the use of it as a new solvent instead of an organic solvent has been actively tried in recent years.  Supercritical carbon dioxide (scCO2) has been known for long time to be used for extraction and separation media.  In recent years, attention has also been drawn to the use as a reaction medium for polymer processing such as polymer synthesis, foaming, fine particle formation and promotion of crystallization.  Based on this background of research, Tominaga Group focused on the phenomenon that Tg of many polymer materials declined in scCO2 and examined in detail the influence of SPE on ionic conduction behavior using its properties.  A decrease in Tg of a polymer is obvious from, for example, a reduction of as much as 40 °C or more in amorphous polymethyl methacrylate, and scCO2 is also known to be more soluble in a polar polymer and exhibits a high plasticizing effect.

 
 
 

     Tominaga Group has attempted to reduce the Tg of SPE by scCO2 treatment.  Ionic conduction in SPE is mainly derived from the segment motion of polymer chain, and it is considered that use of material with low Tg is advantageous. Therefore, scCO2 treatment was performed on the electrolyte consisting of the polyether/Li salt complex in a pressure-resistant container as shown on the left in the above figure, and the ionic conductivity after treatment was measured by the complex impedance method [1].  As a result, as shown in the center of the above figure, it was found that the sample subjected to the scCO2 treatment exhibits higher ionic conductivity than the untreated sample.  Comparison of Tg by DSC measurement revealed a decrease in Tg in the polyether type electrolyte treated with scCO2, which is thought to have led to high ionic conduction [1-3].  Furthermore, as shown in the right figure above, it is also known that conditions such as time and pressure for scCO2 treatment are optimal for improving ionic conductivity [4].  It is known that the temporal stability of the scCO2 treatment effect also varies depending on the treatment conditions, and further optimization of conditions by the progress of further research and processing effect of various SPE are expected.

 
 

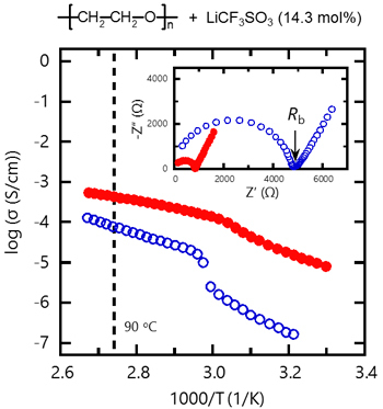
     From these results, we tried to identify dissolved ion species using Raman spectroscopy to elucidate the local structural change of ionic conductivity by the scCO2 treatment.  From the Raman spectroscopic measurement of the PEO-LiCF3SO3 complex, a spectral shift based on the molecular form of the anion (CF3SO3-) is obtained, so that it is possible to estimate the ratio of the ion structure dissolved in the system from the fraction ratio.  A peak based on the symmetric deformation vibration δs (CF3) derived from the CF3 group in the anion is seen around 760 cm-1.  Peak separation was performed on this peak with the Gaussian function curve, and attributed to each ion structure. Complex crystals (766 cm-1), trimers (762 cm-1), ion pairs (757 cm-1), free ions (752 cm-1) are assigned in order from the high wavenumber side.  Here, it is considered that "easily mobile species" and "poorly mobile species" exist in the PEO-salt complex.  In other words, complex crystals and trimeric ions are considered to have a structure that is difficult to express ion transfer and tend to cause an increase in Tg of the system, and ion pairs and free ions are considered to have a structure that allows smoother ion transfer.  As a result, as shown in the left figure, the scCO2 treatment clearly recognized the decrease of "ion species difficult to move" and the increase of "easy-to-move ion species" [2].  This is related to the fact that the CO2 molecules dissolved and adsorbed in the sample develop the effect of promoting dissociation of ion species (ion aggregates such as trimer and complex crystals) which are difficult to move.  In other words, scCO2 treatment for PEO complex is interpreted as leading to improvement of ionic conductivity, since dissociation of ionic aggregates in amorphous state can mainly suppress the significant increase of Tg.  In this PEO-LiCF3SO3 complex, the salt dissociation was promoted most effectively in samples with a relatively high salt concentration, among which the sample with a salt concentration of 14.3 mol% had the highest ionic conductivity (1.8×10-5 S/cm at 40 °C).

[References]

    1. Y. Oe, Y. Tominaga*, Electrochimica Acta, 57, 176-179 (2011).
    2. G.-H. Kwak, Y. Tominaga, S. Asai, M. Sumita*, Electrochimica Acta, 48 (14-16), 1991-1995 (2003).
    3. Y. Tominaga, Y. Izumi, G.-H. Kwak, S. Asai, M. Sumita*, Macromolecules, 36 (23), 8766-8772 (2003).
    4. Y. Tominaga, Y. Izumi, G.-H. Kwak, S. Asai, M. Sumita*, Materials Letters, 57 (4), 777-780 (2002).