Polymer/Filler Composites: inorganic & organic fillers for hybrid materials

Polymer/lignin composites


 
In preparation.
  

Inorganic particulate, fibrous and porous fillers for SPE


 

     The use of inorganic fillers to SPE can bring out many characteristics which can not be realized with conventional simple polymer and metal salt SPE.  First, there are suppression of crystallization for SPE and improvement of mechanical properties.  Due to the nanodispersion of the filler, crystallization of the polymer is further suppressed, which is effective for improving the ionic conductivity.  Also, filling of inorganic filler is effective for improving the electrochemical stability of SPE.  For electrochemical devices such as batteries, it is important to develop long-term high stability at the interface between the SPE composite membrane and the electrode.  In addition, the greatest improvement in ionic conductivity based on these two points is the greatest feature.  Depending on the type of filler, significant improvement in the conductivity can be seen at room temperature.  Although the effect of the inorganic filler on the improvement of the ionic conductivity is very complicated, basically the formation of the ionic (cationic) conduction pathway between the SPE phase and the filler domain surface as shown on the left figure influences.  In other words, this is based on the Lewis acid-base interaction by the functional group (OH group etc.) present on the surface of the filler, and the cation mobility increases locally.  As a result, it has been found that this leads to an improvement in the cation transit rate, which also affects electrochemical stability improvement.

 

     Among all the inorganic filler composite system SPE, the system which is most actively studied is the spherical particle complex type.  Spherical particle type filler composite SPE was reported for the first time in the early 1980's and then studied extensively mainly by polyether type complexes by a research group centered on Scrosati et al.  They revealed for the first time that ionic conductivity is significantly improved and stability of the electrode interface is greatly improved by the addition of small amount of TiO2 or others into the high molecular weight PEO-Li salt type SPE.  Improvement of ionic conductivity around room temperature is particularly noticeable as PEO crystal phase is greatly reduced by filling inorganic filler.  By filling such inorganic filler, effects such as improvement of ionic conductivity, reduction of PEO crystal phase (suppression of recrystallization), improvement of Li-ion transference numbers (t+).  It is considered that this promotion of dissociation of ions and improvement of t+ are realized by formation of a Li-ion transport path at the interface through the interaction on the particle surface of nano-order dispersed in SPE.  In other words, the inorganic filler has an important effect as an accelerator (anion receptor) for salt dissociation and a plasticizer (relaxation of PEO-cation interaction) of PEO.  In addition, the filling effect of Al2O3 with the surface hydroxyl ratio changed by acid/alkali treatment of filler has been studied, and s and t+ of acidic Al2O3 composite SPE film show the highest value.  It has been shown that the series of effects of filling with inorganic filler is not dependent on ion migration via PEO chain thermal motion.  Tominaga Group focuses on the excellent effect of inorganic filler on SPE not dependent on ion movement through polymeric chain thermal motion and is investigating the use of various inorganic fillers for SPE instead of spherical particle type.  Specifically, as shown in the left figure, we use inorganic fillers of mesoporous type [1,2] or nanofiber type [3-5].  By using these fillers, it is possible to increase the SPE/inorganic filler interface which can not be realized with conventional spherical particle fillers, and it is expected to further improve the ionic conduction characteristics of SPE.

 

     Tominaga Group is conducting research on a new composite type SPE that makes full use of the characteristics of porous inorganic filler.  Mesoporous silica (MPSi) is a highly periodic porous molecular sieve, synthesized using ionic or nonionic surfactants. Pore ​​size can be relatively easily controlled from nano-order to submicron-order.  Applications range from catalysts, molecular adsorption, separation, molecular templates and so on.  Compared with particulate filler, MPSi has many specific physical properties such as large specific surface area, high homogeneity of surface condition, regular porous structure and so on.  An electron micrograph of MPSi (neat-MPSi) after firing is shown on the left.  From the TEM photographs (b) and (c), the MPSi has a very regular honeycomb porous structure, the SiO2 wall has a thickness of 2 to 3 nm and the pore diameter is around 7 nm.  On the other hand, from the SEM photograph of (a), we found that MPSi has a regular primary domain structure with an elliptical shape.  It is reported that this shape can be obtained in various shapes such as spherical shape and fibrous shape, depending on conditions (temperature and reaction time) during synthesis. Also, from the results of the small angle X-ray scattering measurement (SAXS), the diffraction of the (1 0 0), (1 1 0) and (2 0 0) planes corresponding to the 3D hexagonal structure is clearly confirmed, From the correlation function, the long period, the wall thickness, and the pore size were calculated to be about 10 nm, 3 nm, 7 nm, respectively.  This data almost agrees with the value estimated from the TEM picture on the left figure. Furthermore, from the measurement result of the BET specific surface area, it was found that MPSi of this study reaches close to 10 times, whereas general particulate SiO2 is less than 100 m2/g.  Tominaga Group  uses the obtained MPSi as a filler for proton conductive membranes as well as Li-ion conductive SPE.

  
  

     Tominaga Group also focuses on fibrous filler as a new filler [3-5].  We synthesized new inorganic nanofibers with high aspect ratio and large specific surface area, expecting packing of nanofibers with functional groups on the surface to form ionic conduction pathway of SPE.  In this study, we synthesized a novel unfired silica nanofiber (SiF), fabricated a polyether type composite electrolyte filled with it, and evaluated their morphological observation, ion-conductive behavior and mechanical properties.  SiF was prepared by the electrospinning method and synthesized two kinds of cal-SiF obtained through normal firing process and ncl-SiF obtained without go through the firing process.  In the synthesis of ncl-SiF, submicron-scale fibers are prepared without sintering by electrospinning from the sol-gel precursor.  An amorphous polyether type SPE composite membrane packed with ncl-SiF on the submicron scale was prepared and its ionic conduction characteristics and mechanical properties were investigated.  From the SEM image on the left in the upper figure, it was found that ncl-SiF was uniformly dispersed in the electrolyte [3].  From the results of the tensile test of the SPE composite membrane at the center of the upper figure, it was found that the Young's modulus and the rupture stress of the ncl-SiF composite film are greatly improved than the SPE sample without the filler [3].  Furthermore, from the results of the complex impedance measurement on the right side of the figure above, it has become clear that ncl-SiF has a greater effect of improving ionic conductivity than unfilled samples and other filler composites.  From these results, it is suggested that there is a strong correlation between the dispersibility of SiF and the strength of the composite material, and highly dispersed ncl-SiF is an excellent material that improves both ionic conductivity and mechanical strength.  Currently, we are also studying the effect of SiF addition on SPE and ionic liquid composite electrolytes [4] and polycarbonate type SPE [5].
*This study (silica nanofiber SPE complex) is based on the collaborative research with Dr. Hidetoshi Matsumoto, Associate Professor of Tokyo Institute of Technology.

[References]

    1. Y. Tominaga*, M. Endo, Electrochimica Acta, 113, 361-365 (2013).
    2. Y. Tominaga, Nihon Gomu Kyokaishi (review in Japanese), 85 (3), 93-100 (2012).
    3. S. Ishibe, K. Anzai, J. Nakamura, Y. Konosu, M. Ashizawa, H. Matsumoto*, Y. Tominaga*, Reactive and Functional Polymers, 81, 40-44 (2014).
    4. K. Kimura, H. Matsumoto, J. Hassoun, S. Panero, B. Scrosati, Y. Tominaga*, Electrochimica Acta, 175, 134-140 (2015).
    5. Z. G. Li, H. Matsumoto, Y. Tominaga*, Polymers for Advanced Technologies, in press.

Sulfonated mesoporous silica for fuel cell membranes


 

     The polymer electrolyte fuel cell (PEFC) has advantages such as operability at a low temperature (about room temperature to about 100 °C), high power generation efficiency, small size and light weight, easy maintenance, relatively inexpensive constituent materials that can be used as a new fuel cell with features.  The basic structure of PEFC is a sandwich structure of a proton conducting polymer membrane with two types of electrodes (porous), generally supplying hydrogen to fuel and oxygen in air and supplying it at 60 to 100 °C.  In the electrode, nanosized platinum particles and the like are supported on carbon in a highly dispersed state, and this catalytic surface serves as a reaction field and an electrochemical redox reaction takes place.  A perfluorosulfonic acid type electrolyte membrane such as Nafion is used for the electrolyte portion which is a key to fuel cells.  This polymer membrane was adopted as a fuel cell for NASA space program in 1969 unmanned satellite etc. due to the ion exchange membrane developed by DuPont, which is characterized by its excellent chemical stability and long service life as a trigger.  Currently, Nafion is widely used for polymer electrolyte membranes of fuel cells that are widely used for ordinary households.  Such PEFC is said to be one of next-generation power sources that considers the global environment because the waste is only water.

 

     Tominaga Group makes use of the extremely large specific surface area of ​​MPSi and the periodicity of the porous structure to prepare a polymer-sulfonated mesoporous silica (s-MPSi) composite membrane and evaluate it as a proton conductor [1-4].  As for s-MPSi, synthesize MPSi containing SH group inside pores by sol-gel reaction of TEOS and SH group-containing silane coupling agent using nonionic surfactant EO20PO70EO20 as a template.  After that, oxidation treatment was performed to convert the SH group to SO3H group, and s-MPSi was obtained.  Regular pore structure has been confirmed by small angle X-ray scattering (SAXS) measurement and TEM observation.  A composite membrane with s-MPSi was prepared by solvent casting method using ethylene-vinyl alcohol copolymer (EVOH) which is relatively inexpensive and excellent in gas barrier property as a model polymer [2].  The proton conductivity of the obtained composite membrane was measured and the conductivity improved at each temperature as the amount of s-PSi added increased.

  
  

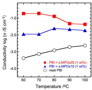
     We investigated the structure of synthesized s-MPSi in detail using field emission type TEM (JEM-2200FS) and EDS [1].  For sample preparation for TEM, s-MPSi was directly embedded in epoxy resin and sliced ​​to uniform thickness with ultra-microtome.  EDS analysis focused on elemental sulfur (S) contained in the sulfo group.  Each element is clearly observed from the result of the EDS mapping image on the left of the upper figure.  Carbon is mainly made of epoxy resin, and oxygen and silicon are elements constituting the structure of MPSi.  Sulfur (d: green) derived from the SO3H group was clearly confirmed and found to be localized on the inner surface of mesopores. This suggests that there are many organic SO3H groups on the internal MPSi. This sulfur is also observed outside the mesopores, possibly due to small amounts of SO3H groups on the outer surface of the MPSi domain.  Furthermore, the overlay image (e) of these elements clearly shows that there is almost SO3H group on the inner surface.  We also tried to prepare and evaluate a composite membrane of polybenzimidazole (PBI) and s-MPSi [1].  PBI is a kind of engineering plastics with high heat resistance and is expected to make it possible to operate even under low or no humidity conditions by including acid such as phosphoric acid.  The proton conductivity of the composite electrolyte membrane filled with phosphoric acid impregnated PBI at the rate of 1 wt% of s-MPSi was measured.  Conductivity was large in the measured temperature and humidity range as shown in the center and right of the above figure was able to obtain the result that it improved.  In this way, it was found that filling of sulfonated mesoporous silica also has the effect of improving conductivity for the proton conductive electrolyte membrane.

[References]

    1. Y. Tominaga*, T. Maki, International Journal of Hydrogen Energy, 39 (6), 2724-2730 (2014).
    2. Y. Chiba, Y. Tominaga*, Journal of Power Sources, 203, 42-47 (2012).
    3. I.-C. Hong, S. Asai*, M. Sumita, Y. Tominaga, Journal of Materials Science Society of Japan, 46 (2), 46-52 (2009).
    4. Y. Tominaga*, I.-C. Hong, S. Asai, M. Sumita, Journal of Power Sources, 171 (2), 530-534 (2007).

Clay dispersion and orientation in SPE


 

     Clay (left figure), which is also an inorganic layered compound which exists naturally, has cations that can be ion-exchanged between layers, and since negatively charged layered structures can be uniformly dispersed in the polymer, and it is expected to be used in the fields of polymer nanocomposites and ionic conductors.  When used for SPE materials, the negative charge layer does not directly contribute to ionic conduction, so complexing with polyether also leads to a single-ion conductor that moves only cations.  Tominaga Group conducts lyophilization of clay and treatment with supercritical carbon dioxide (scCO2) using a polyether/clay composite as a model sample to improve the mobility of cations by increasing the layer spacing, and the negative charge layer-polyether interface in order to increase the efficiency of ion transport by increasing the number of ions [1-4].  For clay, smectite Na type synthetic saponite (Sa) and lyophilized Sa (fSa) are used.  Smectites such as Sa are known to disperse negatively charged layers when dispersed in water to form a card house structure in water.  Clay, which is freeze-dried of the dispersion, is paying attention to maintaining the card house structure even in the solid state.

 
 
 
 
 
 
 
 

     The wide angle X-ray diffraction (WAXD) measurement results for the original and scCO2-treated samples for P(EO/EM2) composites (10 wt%) with various clays (Sa, fSa) are shown in the left figure [3].  Although the average interlayer distance of Sa simple substance was estimated to be 12.6 Å, it was found that a clear diffraction peak can not be seen by fSa simple substance by maintaining the card house structure.  On the other hand, it was found that the interlayer distance of clay in various composites spreads to about 19 ~ 20 Å.  This is probably due to the intercalation of P(EO/EM2) molecules between the clay layers during the sample preparation process. However, there was hardly any change in the interlayer distance of the clay in the composite by scCO2 treatment.  Past studies of delaminating layers using scCO2 treatment suggest that the selection of an appropriate polymer matrix may result in uniform dispersion of clay in the polymer by scCO2 treatment.  On the other hand, in the Sa composite and the fSa composite, it was found that the primary peak derived from the layer structure was broad, although there was hardly any significant change in the interlayer distance.  It is thought that the card house structure formed by lyophilization of Sa lowers the periodicity of the layer structure dispersed in P(EO/EM2).  Therefore, in order to evaluate the effect of lyophilization and scCO2 treatment on the dispersibility of Sa, TEM measurements of various original samples and scCO2 treated samples (P(EO/EM2)/fSa composite only) were performed Central) [3].  In the original sample (b) of the fSa composite, the number of laminated layers decreased and the interface with P(EO/EM2) increased as compared with the Sa composite (a).  Analysis of the electron density profile of the TEM image revealed that the interlayer distance agrees with the WAXD measurement result.  Summarizing the results of TEM and WAXD measurements, it can be seen that the lyophilization process has little effect on the interlayer distance of Sa in the sample, but it has the effect of improving the dispersibility of the layer.  On the other hand, fSa alone showed no primary peak derived from the layer structure from the results of WAXD measurement, suggesting that it forms a card house structure.  Generally, clay forms a laminated structure by strong electrostatic interaction formed between layer surface and interlayer cation. Improvement of dispersibility in polyether by freeze drying relaxes electrostatic interaction between layer surface and interlayer cation and facilitates intercalation of P(EO/EM2) molecules between layers.  From the TEM image (c) of the scCO2 treated sample of the fSa composite, no fibrous Sa aggregate structure seen elsewhere was found, and it was found that the black region was unclear and dispersed over a wide area.  This black area can also be seen in (a) and (b), but it turns out that its size is small.  The scCOtreatment effect is thought to greatly decrease the domain size of the layer aggregate without changing the interlayer distance in the complex almost like the lyophilization treatment. It has been reported that the negatively charged layer can be peeled off when CO2 is released to the outside of the system in the process of releasing the pressure while CO2 enters between the layers of the clay during processing with the same effect.  The temperature dependence of ionic conductivity of various original samples and scCO2 treated samples of P(EO/EM2)/Sa and fSa (10 wt%) composites is shown in the left figure [3]. The original sample of fSa composite showed higher ionic conductivity than Sa composite.  In addition, the scCO2 treated sample of fSa composite improved ionic conductivity by about 35 times than the original sample, and by using lyophilization and scCO2 treatment together, the ionic conductivity could be improved by nearly 100 times.  Generally, the ionic conduction of a mixture of polyether and metal salt strongly depends on the mobility of the polyether chain. In other words, Tg which is an indicator of its mobility is an important factor in evaluating ionic conductivity.  However, DSC measurements of P(EO/EM2)/Sa composite have shown that there is little change in Tg before and after scCO2 treatment.  When comprehensively interpreting past research results, the relaxation of the electrostatic interaction of clay or the increase of the ion-dipole interaction is an essential condition for effectively dissociating interlayer cations to improve ionic conductivity It is considered to be.  Therefore, the temperature dependence of ionic conductivity of P(EO/EM2)/Sa composite follows the Arrhenius equation, and it seems that ion transfer may be manifested by a mechanism not dependent on segment motion of P(EO/EM2) chain It is considered. When the activation energy (Ea) related to ion conduction was estimated by fitting each plot at the bottom left to the Arrhenius equation, it was found that Ea was greatly reduced by lyophilization and scCO2 treatment.  Improvement of ionic conductivity by lyophilization and scCO2 treatment is attributed mainly to an increase in high mobility cation caused by an increase in interface formed between P(EO/EM2) and Sa It is inferred [1,3].

 
 

  Furthermore, we are also aiming to create new SPE composite materials that utilize the high clay aspect ratio by orienting the clay in the SPE with a strong magnetic field (left figure) [2].  The magnetic field application specimen was prepared by allowing the monomer solution of oligooxyethylene methacrylate (MEO) to stand at room temperature for 1 hour in a magnetic field of 3 T and conducting polymerization as it was.  Since the interlayer distance of clay (MMT) filled specimens is larger than that of clay alone, it is considered that PMEO penetrated between the layers.  Although the interlayer distance of the clay in the sample slightly increased due to the application of the magnetic field, there was no significant change in the Tg of the sample filled with clay.  The figure on the left shows the diffraction pattern by two-dimensional X-ray diffraction measurement of the magnetic field application sample and the expected orientation image of the clay in the sample.  In the original sample, the ring of diffraction based on the interlayer of the clay is isotropic, but in the magnetic field application sample many clays oriented perpendicular to the film surface direction were confirmed.  Furthermore, we measured ionic conductivity at room temperature.  The ionic conductivity of the magnetic field application sample was much better than that of the original sample.  From the results of the two-dimensional X-ray diffraction measurement, since the clay is in a state parallel to the film thickness direction in the vertical sample, the ionic conductivity is improved as the clay is oriented parallel to the ionic conductivity measurement direction.  The temperature dependence of the ionic conductivity also showed a decrease in the activation energy of the vertical specimen.  This result indicates that the interlayer cation is effectively used and the carrier ion is increased more than the original sample.  The results of the Li ion transportation also showed that the value of the vertical sample was improved and it was suggested that the orientation of the clay has a large influence on the ion conduction environment of the cation.
*This study (magnetic orientation clay complex) is based on the collaborative research with Dr. Yamato Masafumi, Associate Professor of Tokyo Metropolitan University.

[References]

    1. S. Kitajima, F. Bertasi, K. Vezzù, E. Negro, Y. Tominaga*, V. Di Noto*, Physical Chemistry Chemical Physics, 15 (39), 16626-16633 (2013).
    2. S. Kitajima, M. Matsuda, M. Yamato, Y. Tominaga*, Polymer Journal, 45 (7), 738-743 (2013).
    3. S. Kitajima, Y. Tominaga*, Ionics, 18 (9), 845-851 (2012).
    4. S. Kitajima, Y. Tominaga*, Macromolecules, 42 (15), 5422-5424 (2009).