ポリマー/フィラー複合材料: 無機・有機フィラーのハイブリッド化

ポリマー/リグニン複合材料


 
 作成中
  

SPEのための粒子状・ファイバー状・ポーラス状無機フィラー


 SPEへの無機フィラー(filler=充填剤)の利用は、従来の単純な高分子と金属塩からなるSPEでは実現できない多くの特性を引き出すことができます。第一に、SPEに対する結晶化の抑制と力学的な特性の改善が挙げられます。フィラーのナノ分散化によって、高分子の結晶化はより抑制されるため、イオン伝導度の向上に有効です。また、無機フィラーの充填は、SPEの電気化学的安定性の向上にも有効です。電池などの電気化学デバイスでは、SPE複合膜と電極の界面において長期的に高い安定性を発現することが重要です。さらに、これらの二点を踏まえたイオン伝導度の大幅な向上が最も大きな特徴です。フィラーの種類によっては、室温で4桁以上の向上効果が見られます。イオン伝導度の向上に及ぼす無機フィラーの充填効果は非常に複雑であるが、基本的には左図上に示すようなSPE相-フィラードメイン表面間におけるイオン(カチオン)伝導経路の形成が影響を及ぼしていると考えられています。つまり、これはフィラー表面に存在する官能基(例えば、OH基など)によるルイス酸-塩基相互作用に基づいており、局所的にはカチオンの移動度が増加します。結果的にはカチオン輸率の向上につながり、電気化学的な安定性の改善にも影響することが分かっています。

 全ての無機フィラー複合系SPEの中で、最も研究が盛んに行われている系が、球状粒子複合型です。球状粒子型フィラー複合SPEは、1980年代初頭に初めて報告され、その後、Scrosatiらを中心とする研究グループによって主にポリエーテル系複合体を中心に広く研究されています。彼らは、高分子量PEO-Li塩系SPEに少量のTiO2やg-LiAlO2などを充填すると、イオン伝導度が著しく向上し、電極界面の安定性も大きく改善されることを初めて明らかにしました。室温付近のイオン伝導度の改善は、無機フィラーの充填によりPEO結晶相が大きく減少するため、特に顕著に見られます。このような無機フィラーの充填により、イオン伝導度の向上やPEO結晶相の減少(再結晶化の抑制)、さらにはLiイオン輸率(t+)の改善などの効果が見られます。これは、SPE中に分散したナノオーダーの粒子表面における相互作用を介した界面におけるLiイオン輸送経路の形成により、イオンの解離促進とt+の向上が実現しているものと考察されます。つまり、無機フィラーは塩解離の促進剤(アニオン受容体)やPEOの可塑剤(PEO-カチオン相互作用の緩和)として重要な効果を与えています。また、フィラーの酸・アルカリ処理により表面の水酸基率を変化させたAl2O3の充填効果についても検討されており、酸性Al2O3複合SPE膜のsおよびt+が最も高い値を示します。無機フィラーの充填による一連の効果は、PEO鎖の熱運動を介したイオン移動には依存しないことが示されています。
 
 富永研では、高分子鎖の熱運動を介したイオン移動に依存しないSPEに対する無機フィラーの優れた効果に着目し、球状粒子型にかわる様々な無機フィラーのSPEへの利用を検討しています。具体的には、左図に示すように、メソポーラス型[1,2]やナノファイバー型[3-5]の無機フィラーを利用します。これらのフィラーを利用することによって、従来型の球状粒子フィラーでは実現できないSPE/無機フィラー界面の増加が可能となり、さらなるSPEのイオン伝導特性の改善が期待できます。

 

 
 富永研では、多孔性無機フィラーの特徴を活かした新しいコンポジット型SPEの研究を進めています。メソポーラスシリカ(MPSi)は、周期性の高い多孔性モレキュラーシーブであり、イオン性または非イオン性界面活性剤を用いて合成されます。孔径は1~2 nm程度から数十 nmまで比較的容易に制御できます。応用性は、触媒、分子吸着、分離、分子鋳型など多岐に渡っています。MPSiは、粒子状フィラーと比較して、大きな比表面積、表面状態の高い均質性、規則正しい多孔構造など、多くの特異的な物性を有しています。
 左図には、焼成後のMPSineat-MPSi)の電子顕微鏡写真を示しています。(b),(c)のTEM写真からは、MPSiが非常に規則的なハニカム状多孔構造を有しており、またSiO2壁の厚さが2~3 nm、空孔径が7 nm程度であることが確認できます。一方、(a)SEM写真からはMPSiが楕円形の規則的な一次ドメイン構造を有していることが分かりました。この形状は、合成時における条件(温度や反応時間)によってかわり、球状や繊維状など多様な形状のものを得ることができると報告されています。また、小角X線散乱測定(SAXS)の結果からは、3Dヘキサゴナル構造に対応する(1 0 0)(1 1 0)(2 0 0)面の回折が明確に確認され、その一次元相関関数からは長周期、壁厚、孔径がそれぞれ10 nm3 nm7 nm程度と算出されました。このデータは、左図のTEM写真から見積もられる値とほぼ一致しています。さらに、BET比表面積の測定結果からは、一般的な粒子状SiO2100 m2/gに満たない値であるのに対し、本研究のMPSi10倍近くの値に達することが分かりました。
 富永研では、得られるMPSiをLiイオン伝導性SPEだけでなく、プロトン伝導膜用フィラーとしても利用しています。

  
  

  さらに富永研では、新規フィラーとしてファイバー状フィラーにも着目しています [3-5]。表面に官能基を有するナノファイバーの充填がSPEのイオン伝導経路を形成することを期待し、高いアスペクト比および大きな比表面積を有する新しい無機ナノファイバーを合成しました。本研究では、新規な非焼成シリカナノファイバー(SiF)を合成し、これを充填したポリエーテル系複合電解質を作製し、それらの形態観察、イオン伝導挙動および機械的特性を評価しました。SiFは、エレクトロスピニング法で作製し、通常の焼成過程を経て得られるcal-SiFと焼成過程を経ずに得られるncl-SiFの二種類を合成しました。ncl-SiFの合成では、ゾル-ゲル前駆体からのエレクトロスピニングによって焼成過程を経ずにサブミクロンスケールのファイバーが調製されます。サブミクロンスケールのncl-SiFを充填した非晶性ポリエーテル系SPE複合膜を作製し、そのイオン伝導特性と機械的特性を調べました。
  上図左のSEM画像からは、ncl-SiFが電解質中に均一に分散していることが分かりました [3]。上図中央のSPE複合膜の引張試験の結果からは、ncl-SiF複合膜のヤング率および破断応力がフィラー未充填のSPE試料よりも大幅に向上することが分かりました [3]。さらに、上図右の複素インピーダンス測定の結果からは、ncl-SiFは未充填試料および他のフィラー複合体よりもイオン伝導度の向上効果が大きいことが明らかになりました。これらの結果から、SiFの分散性と複合材の強度との間には強い相関があることが示唆され、高分散ncl-SiFはイオン伝導度と機械的強度の両方を向上させる優れた材料であることが分かりました。
 現在は、SPEとイオン液体からなる複合型電解質 [4]や、ポリカーボネート型SPE [5]へのSiFの添加効果についても研究を行っています。
*本研究(シリカナノファイバーSPE複合体)は、松本英俊准教授(東京工業大学)との共同研究による成果です。

[関連論文]

    1. Y. Tominaga*, M. Endo, Electrochimica Acta, 113, 361-365 (2013).
    2. 富永洋一, 日本ゴム協会誌 (総説), 85 (3), 93-100 (2012).
    3. S. Ishibe, K. Anzai, J. Nakamura, Y. Konosu, M. Ashizawa, H. Matsumoto*, Y. Tominaga*, Reactive and Functional Polymers, 81, 40-44 (2014).
    4. K. Kimura, H. Matsumoto, J. Hassoun, S. Panero, B. Scrosati, Y. Tominaga*, Electrochimica Acta, 175, 134-140 (2015).
    5. Z. G. Li, H. Matsumoto, Y. Tominaga*, Polymers for Advanced Technologies, in press.

スルホン化メソポーラスシリカのプロトン伝導膜への応用


 固体高分子形燃料電池(PEFC)は、低い温度(室温~100 ℃程度)における作動性、高い発電効率、小型軽量化が可能、保守が容易、比較的廉価な構成材料が利用できる、などの特徴を持つ新しい燃料電池として期待されています。PEFCの基本骨格は、プロトン伝導性高分子膜を二種の電極(多孔質)でサンドイッチした構造で、一般には燃料に水素、酸化剤に空気中の酸素を供給して、60~100 ℃の低温で作動させます。電極には、ナノサイズの白金粒子などが高分散化された状態でカーボンに担持されており、この触媒表面が反応場となって電気化学的な酸化還元反応が起きます。燃料電池の要である電解質部には、ナフィオン(Nafion®)のようなパーフルオロスルホン酸型電解質膜が使われています。この高分子膜は、DuPont社により開発されたイオン交換膜がきっかけで、優れた化学的安定性や長寿命などの特徴から、NASA宇宙計画用燃料電池として1969年の無人衛星などに搭載されました。現在、一般家庭用に広く普及している燃料電池の高分子電解質膜には、このナフィオンが多く使われています。このようなPEFCは、排出物が水のみであるため、地球環境に配慮した次世代電源の一つとも言われています。

 富永研では、MPSiの有する極めて大きな比表面積やポーラス構造の周期性を利用し、高分子/スルホン化メソポーラスシリカ(s-MPSi)複合膜の作製と、プロトン伝導体としての評価を行っています [1-4]。s-MPSiに関しては、左図に示すように非イオン性界面活性剤EO20PO70EO20を鋳型としたTEOSとSH基を含むシランカップリング剤のゾルーゲル反応により、SH基を細孔内部に含むMPSiを合成しました。その後、酸化処理を行うことでSH基ををSO3H基に変換し、s-MPSiを得ました。規則的な細孔構造は、小角X線散乱(SAXS)測定やTEM観察により確認されています。
 比較的安価でガスバリア性に優れるエチレン-ビニルアルコール共重合体(EVOH)をモデル高分子として、s-MPSiとの複合膜を溶媒キャスト法により作製ました [2]。得られた複合膜のプロトン伝導度を測定したところ、s-MPSi添加量の増加に従って各温度で伝導度が向上しました。

  
  

 合成したs-MPSiの構造を電界放出型TEM(JEM-2200FS)およびEDSを用いて詳細に調査しました [1]。TEM用の試料作製は、s-MPSiをそのままエポキシ樹脂に包埋し、ウルトラミクロトームで均一な厚さにスライスしました。EDS分析では、スルホ基に含まれる硫黄元素(S)に注目しました。上図左のEDSマッピング画像の結果からは、各元素が明瞭に観察されています。炭素は主にエポキシ樹脂によるものであり、酸素とケイ素はMPSiの骨格を構成する元素です。SO3H基由来の硫黄(d:緑)は明瞭に確認でき、メソ細孔の内表面に局在していることが分かりました。これは、内部MPSi上に多くの有機SO3H基が存在することを示唆しています。この硫黄は、メソ細孔の外側でも観察され、MPSiドメインの外表面上の少量のSO3H基に起因する可能性があります。さらに、これらの要素のオーバーレイ画像(e)は、明らかに内表面にほぼSO3H基が存在することを示しています。
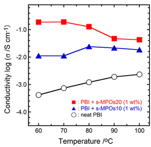
 さらに、ポリベンズイミダゾール(PBI)とs-MPSiの複合膜作製と評価も試みました [1]。PBIは高耐熱性のエンジニアリングプラスチックの一種であり、リン酸などの酸を含有させることで低湿条件や無加湿条件でも作動を可能とすることに期待が持たれている材料です。リン酸含浸PBIにs-MPSiを1 wt%の割合で充填したコンポジット電解質膜のプロトン伝導度を測定したところ、上図中央および右に示すように、測定した温度・湿度範囲で伝導度が大きく向上するという結果を得ることができました。このように、プロトン伝導性電解質膜に対しても、スルホン化メソポーラスシリカの充填が伝導度向上の効果をもたらすことが分かりました。

[関連論文]

    1. Y. Tominaga*, T. Maki, International Journal of Hydrogen Energy, 39 (6), 2724-2730 (2014).
    2. Y. Chiba, Y. Tominaga*, Journal of Power Sources, 203, 42-47 (2012).
    3. I.-C. Hong, S. Asai*, M. Sumita, Y. Tominaga, Journal of Materials Science Society of Japan, 46 (2), 46-52 (2009).
    4. Y. Tominaga*, I.-C. Hong, S. Asai, M. Sumita, Journal of Power Sources, 171 (2), 530-534 (2007).

SPE中のクレイの分散・配向制御


 

 天然にも存在する無機層状化合物であるクレイ(左図)は、層間にイオン交換可能なカチオンを有し、負電荷を帯びた層状の構造体は高分子中に均一分散する可能性があるため、高分子ナノコンポジットやイオン伝導体の分野でも利用が期待されています。SPE材料に用いた場合では、負電荷層はイオン伝導に直接寄与しないことから、ポリエーテルとの複合化はカチオンのみを移動させるシングルイオン伝導体にもつながります。富永研では、ポリエーテル/クレイ複合体をモデル試料としてクレイの凍結乾燥および超臨界二酸化炭素(scCO2)処理を行い、層間隔の拡大によるカチオンの移動度の向上、および負電荷層-ポリエーテル界面の増加によるイオン輸送の効率化を目的として研究を行っています [1-4]。クレイには、スメクタイト類のNa型合成サポナイト(Sa)および凍結乾燥Sa(fSa)を用いています。Saなどのスメクタイト類は、水中に分散させると負電荷層が剥離し、水中でカードハウス構造を形成することが知られています。その分散液を凍結乾燥したクレイは、固体状態のおいてもカードハウス構造を維持する点に着目しています。

 
 
 
 
 
 

 各種クレイ(Sa, fSa)単体および非晶性ポリエーテルであるP(EO/EM2)とのコンポジット(10 wt%)のオリジナル試料および各種scCO2処理試料の広角X線回折(WAXD)測定結果を左図上に示します [3]。Sa単体の平均の層間距離は12.6 Åと見積もられましたが、fSa単体はカードハウス構造の維持によって明確な回折ピークが見られないことが分かりました。一方、各種コンポジット中のクレイの層間距離は、おおよそ19~20 Åに広がることが分かりました。これは、試料の作製過程におけるP(EO/EM2)分子のクレイ層間へのインターカレーションが原因であると考えられます。ところが、scCO2処理によるコンポジット中のクレイの層間距離に、ほとんど変化は見られませんでした。scCO2処理を利用して層剥離をさせている過去の研究によると、適切な高分子マトリックスの選定によりscCO2処理による高分子中でのクレイの均一分散の可能性が考えられます。一方、SaコンポジットとfSaコンポジットには、層間距離にはほとんど大きな変化は見られないものの、層構造に由来する一次ピークがブロードになっていることが分かりました。Saの凍結乾燥によって形成するカードハウス構造が、P(EO/EM2)中に分散している層構造の周期性を低下させていることを示唆していると考えられます。
 そこで、凍結乾燥およびsscCO2処理によるSaの分散性への影響を評価するために、各種オリジナル試料とscCO2処理試料(P(EO/EM2)/fSaコンポジットのみ)のTEM測定を行いました(左図中央)[3]。fSaコンポジットのオリジナル試料(b)では、Saコンポジット(a)よりも積層数が減少し、P(EO/EM2)との界面が増加しているのが分かりました。TEM像の電子密度プロファイルを解析した結果によると、層間距離がWAXD測定の結果と一致することが明らかとなりました。TEMおよびWAXD測定の結果を総括すると、凍結乾燥処理は試料中のSaの層間距離にはほとんど影響を及ぼしませんが、層の分散性を向上させる効果は有ることが分かります。一方、fSa単体はWAXD測定の結果から層構造由来の一次ピークが見られず、カードハウス構造を形成していることが示唆されました。一般的に、クレイは層表面と層間カチオン間で形成される強固な静電的相互作用により、積層構造を形成しています。凍結乾燥処理によるポリエーテル中での分散性の向上は、層表面と層間カチオン間の静電的相互作用を緩和し、P(EO/EM2)分子の層間へのインターカレーションが容易になったことを支持するものです。fSaコンポジットのscCO2処理試料のTEM像(c)からは、他で見られる繊維状のSa集合体構造は見られず、黒色領域が不明瞭で広域に分散していることが分かりました。この黒色領域は、(a)や(b)にも見られますが、そのサイズは小さくなっていることが分かります。scCO2処理効果は、凍結乾燥処理と同様に複合体中の層間距離をほとんど変化させることなく、層集合体のドメインサイズを大きく減少させると考えられます。処理中にCO2がクレイの層間に侵入した状態で圧力を解除する過程で、CO2が系外に放出される際に負電荷層を剥離させることができると報告されており、本研究の複合体中においても同様な効果が寄与している可能性が示唆されます。
 P(EO/EM2)/SaおよびfSa(10wt%)コンポジットの各種オリジナル試料およびscCO2処理試料のイオン伝導度の温度依存性を左図下に示します [3]。fSaコンポジットのオリジナル試料は、Saコンポジットよりも高いイオン伝導度を示しました。また、fSaコンポジットのscCO2処理試料は、オリジナル試料よりもイオン伝導度が約35倍向上し、凍結乾燥処理とscCO2処理を併用することでイオン伝導度を約100倍近く向上させることができました。一般的に、ポリエーテルと金属塩からなる混合物のイオン伝導は、ポリエーテル鎖の運動性に強く依存します。言い換えれば、その運動性の指標であるTgは、イオン伝導性を評価する上で重要な要素になります。ところが、P(EO/EM2)/SaコンポジットのDSC測定からは、scCO2処理前後のTgにほとんど変化がないことが分かっています。過去の研究成果を総合的に解釈すると、クレイの静電的相互作用の緩和またはイオン-双極子間相互作用の増加が、層間カチオンを効果的に解離してイオン伝導度を向上させる必須条件であると考えられます。そのため、P(EO/EM2)/Saコンポジットのイオン伝導度の温度依存性はアレニウス式に従い、P(EO/EM2)鎖のセグメント運動に依存しないメカニズムでイオン移動が発現しているのではないかと考察されます。左図下の各プロットをアレニウス式に適合させ、イオン伝導に関する活性化エネルギー(Ea)を見積もったところ、凍結乾燥およびscCO2処理によってEaが大きく減少していることが分かりました。凍結乾燥およびscCO2処理によるイオン伝導度の向上は、P(EO/EM2)とSaとの間に形成される界面の増加によってもたらされた、移動度の高いカチオンの増加が主たる要因であると推察されます [1,3]

 

 さらに富永研では、SPE中のクレイを強磁場によって配向させ、クレイの高いアスペクト比を活かした新しいSPE複合材料の創製も目指しています(左図)[2]。磁場印加試料は、オリゴオキシエチレンメタクリレート(MEO)のモノマー溶液を3 Tの磁場中に1時間室温で静置し、そのままの状態で重合を行って作製しました。クレイ(MMT)を充填した試料は、クレイ単体に比べて層間距離が拡大していることから、層間にPMEOが浸入したと考えられます。磁場印加によって試料中のクレイの層間距離がわずかに拡大しましたが、クレイを充填した試料のTgに大きな変化は見られませんでした。左図には磁場印加試料の二次元X線回折測定による回折パターン、および予想される試料中のクレイの配向イメージを示しました。オリジナル試料では、クレイの層間に基づく回折のリングが等方的ですが、磁場印加試料では膜面方向に対して垂直に配向しているクレイが多く確認されました。さらに、これらの室温におけるイオン伝導度を測定しました。磁場印加試料のイオン伝導度は、オリジナル試料よりも大きく向上しました。二次元X線回折測定の結果からは、垂直試料ではクレイが膜厚方向に対して平行な状態であることから、クレイがイオン伝導度測定方向に対して平行に配向するほどイオン伝導度が向上することが分かりました。また、イオン伝導度の温度依存性からは垂直試料の活性化エネルギーの低下が見られました。この結果は、垂直試料がオリジナル試料よりも層間カチオンが効果的に利用されキャリヤーイオンが増加したことを示しています。Liイオン輸率の結果からも垂直試料の値が向上しており、クレイの配向がカチオンのイオン伝導環境に大きく影響を与えていることが示唆されました。
*本研究(磁場配向クレイ複合体)は、山登正文准教授(首都大学東京)との共同研究による成果です。

[関連論文]

    1. S. Kitajima, F. Bertasi, K. Vezzù, E. Negro, Y. Tominaga*, V. Di Noto*, Physical Chemistry Chemical Physics, 15 (39), 16626-16633 (2013).
    2. S. Kitajima, M. Matsuda, M. Yamato, Y. Tominaga*, Polymer Journal, 45 (7), 738-743 (2013).
    3. S. Kitajima, Y. Tominaga*, Ionics, 18 (9), 845-851 (2012).
    4. S. Kitajima, Y. Tominaga*, Macromolecules, 42 (15), 5422-5424 (2009).