固体高分子電解質 (SPE): 基礎研究・新規ポリマー開発

ポリカーボネート型電解質の基礎物性評価


 富永研では、柔軟で軽量な高分子材料としての本来の特徴を活かしたまま、室温で10-3 S/cm以上の高いイオン伝導度を発現する優れたSPEの創製を目指しています。SPE中のイオン移動は、高分子鎖の熱運動に基づくガラス転移温度(Tg)によって支配されます。高イオン伝導性の発現には、Tgの上昇を抑えながらキャリヤーイオンを効果的に溶存させる材料の選定や改善技術が必要です。これまでのエチレンオキシド(EO)型SPEでは、エーテル酸素の双極子とカチオンとの間に存在する強い相互作用によって溶媒和構造を形成し(図左)、キャリヤーイオンを安定に溶存できる一方、ポリエーテルのTgを著しく上昇させます。図右のような強いイオン-双極子相互作用による溶媒和構造を形成しない新しいポリマーの開発が望まれています。

 富永研では、二酸化炭素(CO2)とエポキシドからなるポリカーボネート型共重合体に着目しています [1-7]。左図には実際のPEC単体およびPEC-LiFSI電解質の写真を示しています。塩濃度の増加とともに固体膜状からゲル状に変化して柔らかくなっている様子が確認できます [4,7]。これまでのポリエーテル系SPEでは、イオン伝導度の理論的な限界が指摘されており、実用的に必要な値の達成が不可能であると言われています。さらに、EO型ポリマーは吸湿性が高く、力学的強度も低いことから、用途開拓が難しいとされています。本研究の共重合体は、EO構造に全く依存しない分子設計であるため、新しいイオン伝導メカニズムにもとづくと考えられ、従来のイオン伝導度を超える可能性が十分に期待されます。また、吸湿性や力学強度の問題も克服できることから、イオニクス材料としての応用性が広がり、新しい用途開拓につながる可能性があります。 一方、CO2を原料としている点から、低環境負荷のもとで材料を作製できるメリットがあります。現代社会の経済活動から排出されるCO2を有効利用し、高付加価値の新材料が得られれば、社会的・産業的にも注目に値する研究になりうると考えられるからです。

 LiFSIを溶解したPEOおよびPEC電解質のイオン伝導度およびTgの変化を左図にまとめました [4]。PEO電解質は、塩濃度の増加によってTgが上昇し、イオン伝導度が極大値(5 mol%付近)を示す、典型的な非晶性ポリエーテル型の挙動を示すことが分かります。PEOへのLi塩の溶解によってキャリヤーイオン数が増加するためイオン伝導度はある程度の塩濃度範囲までは上昇しますが、イオン伝導度が極大値を示す塩濃度範囲以上ではLiイオン-双極子相互作用によるTgの上昇が支配的となるためイオン伝導度は低下してしまいます。一方、PEC電解質は従来のポリエーテル型とは全く異なる極めて特異的な挙動を示すことが明らかとなりました。塩濃度の増加とともにイオン伝導度が大きく上昇し、Tgが直線的に低下することが分かりました [4,7]。
 さらに、直流分極法と複素インピーダンス法の併用によるPEC-LiTFSI電解質のLiイオン輸率(t+)の測定を試みました。その結果、PEC-LiTFSI(60 wt%以上)試料で0.5を上回るt+を示すことが分かりました [3]。非常に興味深いことに、このPEC-LiFSI電解質のt+は塩濃度の増加によって上昇することも分かりました [4]。従来のポリエーテル系電解質などのt+は、低塩濃度範囲では0.5程度と比較的高い値ですが、塩濃度の増加による影響を大きく受け、0.1~0.2程度まで急激に低下することが報告されています。塩濃度増加によるイオン伝導度の上昇とあわせて考えると、このCO2/エポキシド共重合体はカチオン(Li+)の移動に適した極性環境を与えている可能性があります。また、TiO2の充填によってt+値がさらに向上し、単純に塩を添加するバイイオン伝導体としては最も高い0.8を超える値を示すことも分かりました [4]。既存のポリエーテル系ではエーテル酸素の強いルイス塩基性相互作用によってLi+が強固に溶媒和される構造を形成するため、t+値は一般的に低くなります(0.1~0.4程度)。このようなポリカーボネート型電解質の極めて高いt+値は、Liイオンが電荷の授受のほとんどを担っていることを示しており、シングルイオン伝導体に匹敵する共同です。これは、将来的には電池用電解質として実用化する際には極めて有用です。

 

 PEC-LiTFSI電解質の広帯域誘電スペクトル測定(40 ℃)からは、kHz以下の低周波側ではイオンの動きを反映する電極分極の大きな緩和が現れ、kHz以上の高周波側では高分子のセグメント運動に由来する誘電緩和が見られました [1,2]。PECおよびポリエーテル型電解質の誘電損失ピークの塩濃度依存性の比較からは、PEC電解質では2種類のピーク(セグメント運動に由来するα緩和、何らかの局所運動に由来するβ緩和)が観察されました。PEC型電解質はポリエーテル型とは大きく挙動が異なり、左図のように塩濃度増加に伴ってα緩和のピークが増大し、高濃度で高周波側にシフトすることを初めて明らかにしました [2]。さらに、塩濃度の増加によるTgの低下を引き起こす要因を考察した結果、以下のことが分かりました。イオンと相互作用していない速いセグメント運動(αfast)と、塩の溶解に伴い安定な溶媒和構造を形成することで運動性が低下した遅いセグメント運動(αslow)の2種類の誘電緩和ピークを測定したところ、従来型ポリエーテルとポリカーボネート電解質には2つの大きな相違点がありました [1]。1つは、ポリカーボネート型の場合、高濃度において高分子の運動性が向上しているのに対し、ポリエーテル型では低下したこと、もう1つは、ピーク全体の面積(誘電緩和の大きさに相当)がポリカーボネート型では大きく向上したことです。これらは、高分子鎖の剛直性が関与していると考えられます。ポリカーボネートでは分子内外の水素結合により剛直性を保っているため、低濃度では緩和が小さくなる一方で、高濃度においてはそれらの相互作用がLiイオンによって切られるようなことが起こり、結果としてポリエーテルに近い柔軟性や誘電性が発現したのではないかと考察しています。
*本研究(PEC電解質の広帯域誘電緩和測定)は、古川猛夫博士・児玉秀和博士(小林理学研究所)との共同研究による成果です。

[関連論文]

    1. J. Motomatsu, H. Kodama, T. Furukawa,Y. Tominaga*, Polymers for Advanced Technologies, 28 (3), 362–366 (2017).
    2. J. Motomatsu, H. Kodama, T. Furukawa*, Y. Tominaga*, Macromolecular Chemistry and Physics, 216 (15), 1660-1665 (2015).
    3. Y. Tominaga*, K. Yamazaki, V. Nanthana, Journal of The Electrochemical Society, 162 (2), A3133-A3136 (2015).
    4. Y. Tominaga*, K. Yamazaki, Chemical Communications, 50 (34), 4448-4450 (2014).
    5. 富永洋一, 奥村康則, 特開2014-185195.
    6. 富永洋一, 特許5610468.
    7. Y. Tominaga*, V. Nanthana, D. Tohyama, Polymer Journal, 44 (12) 1155-1158 (2012).

ポリカーボネート型電解質の電気化学的特異性・イオン溶存状態の解析


 
 作成中
  

[関連論文]

    1. Y. Tominaga, Polymer Journal (Focus Review), 49 (3), 291-299 (2017).
    2. K. Kimura, J. Motomatsu, Y. Tominaga*, The Journal of Physical Chemistry C, 120 (23), 12385-12391 (2016).
    3. K. Kimura, J. Motomatsu, Y. Tominaga*, Journal of Polymer Science Part B: Polymer Physics, 54 (23), 2442–2447 (2016).

新しいポリカーボネートの合成とSPEへの応用


 
 作成中
  

[関連論文]

    1. T. Morioka, K. Nakano, Y. Tominaga*, Macromolecular Rapid Communications, 38, 1600652 (2017).
    2. Y. Tominaga, Polymer Journal (Focus Review), 49 (3), 291-299 (2017).
    3. T. Morioka, K. Ota, Y. Tominaga*, Polymer, 84, 21-26 (2016).
    4. ナンタナーワンナサー, 富永洋一*, 高分子論文集, 70 (1), 23-28  (2013).
    5. M. Nakamura, Y. Tominaga*, Electrochimica Acta, 57, 36-39 (2011).
    6. Y. Tominaga*, T. Shimomura, M. Nakamura, Polymer, 51 (19), 4295-4298 (2010).

超臨界二酸化炭素によるポリエーテル系電解質の処理効果


 物質は、通常固体・液体・気体のいずれかの状態をとります。左図は、一般的な純物質の相図を示しています。物質固有の臨界点(Pc, Tc)を超えた条件では、超臨界流体と呼ばれる気体と液体の両方の性質を併せ持つ状態になります。二酸化炭素(CO2)は、比較的温和な条件(Tc=31.1 ℃, Pc=7.4 MPa)で超臨界状態になります。CO2は、安価で無害であることから、有機溶媒に代わる新しい溶媒としての利用が近年盛んに試みられています。超臨界二酸化炭素(scCO2)は、古くは抽出や分離用媒体などへの利用が知られています。近年では、高分子合成や発泡・微粒子形成・結晶化促進などの高分子加工へ用いる反応媒体としての利用にも注目が集まっています。このような研究背景をもとに、富永研ではscCO2中で多くの高分子材料のTgが低下する現象に着目し、その特性を利用したSPEのイオン伝導挙動への影響について詳細に検討しました。高分子のTgの低下は、例えば非晶性のポリメチルメタクリレートにおける40 ℃以上もの低下などから明らかで、scCO2は極性高分子に対してより溶解しやすく、高い可塑化効果を示すことでも知られています。

 
 
 

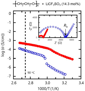
 富永研では、scCO2処理によりSPEのTgを低下させることを試みました。SPE中でのイオン伝導は、主にポリマー鎖のセグメント運動に由来しており、Tgが低い材料の利用が有利であると考えられます。そこで、ポリエーテル/Li塩複合体からなる電解質に対して上図左のような耐圧容器中でscCO2処理を行い、複素インピーダンス法により処理後のイオン伝導度を測定しました[1]。その結果、上図中央に示すように、scCO2処理を行った試料は未処理試料と比べて高いイオン伝導度を発現することが分かりました。DSC測定によりTgの比較を行ったところ、scCO2処理を行ったポリエーテル型電解質ではTgの低下が見られ、これが高イオン伝導化につながったと考えられます[1-3]。さらに、上図右に示すように、イオン伝導度の向上に最適なscCO2処理の時間や圧力などの条件が存在することも分かってきています[4]。scCO2処理効果の経時安定性も処理条件により変化することが分かっており、今後さらなる研究の進展による条件の最適化や様々なSPEの処理効果が期待されます。

 これらの結果を受け、scCO2処理によるイオン伝導度の局所的な構造変化を解明するために、ラマンスペクトル解析法を利用した溶存イオン種の同定を試みました。PEO-LiCF3SO3複合体のラマン分光測定からは、アニオン(CF3SO3-)の分子形態に基づくスペクトルシフトが得られるため、それらのフラクション比から系内に溶存するイオン構造の割合を推定することができます。760 cm-1付近には、アニオン中のCF3基に由来する対称変角振動δs(CF3)に基づくピークが見られます。このピークに対してガウシアン関数曲線でピーク分離を行い、それぞれのイオン構造に対して帰属しました。高波数側から、錯体結晶(766 cm-1)、三量体(762 cm-1)、イオン対(757 cm-1)、自由イオン(752 cm-1)の順に帰属されます。ここで、PEO-塩複合体中には「移動しやすいイオン種」と「移動しにくいイオン種」が存在すると考えられます。つまり、錯体結晶や三量体イオンは、イオン移動を発現しにくく系のTgの増大を引き起こしやすい構造として考えられ、イオン対や自由イオンは、よりスムーズなイオン移動が発現できる構造と考えられます。その結果、左図のようにscCO2処理によって「移動しにくいイオン種」の減少と「移動しやすいイオン種」の増加が明確に認められました [2]。これは、試料中に溶解・吸着したCO2分子が移動しにくいイオン種(三量体・錯体結晶などのイオン凝集体)の解離を促進させる効果を発現していることと関連しています。すなわち、PEO系複合体に対するscCO2処理は、おもに非晶中のイオン凝集体を解離させることでTgの著しい増大を抑制できるため、イオン伝導度の向上につながったと解釈されます。今回のPEO-LiCF3SO3複合体では、比較的塩濃度が高い試料で最も効果的に塩解離が促進されており、中でもより塩濃度が14.3 mol%の試料がscCO2処理により最も高いイオン伝導度(1.8×10-5 S/cm at 40 ℃)を発現しました。

[関連論文]

    1. Y. Oe, Y. Tominaga*, Electrochimica Acta, 57, 176-179 (2011).
    2. G.-H. Kwak, Y. Tominaga, S. Asai, M. Sumita*, Electrochimica Acta, 48 (14-16), 1991-1995 (2003).
    3. Y. Tominaga, Y. Izumi, G.-H. Kwak, S. Asai, M. Sumita*, Macromolecules, 36 (23), 8766-8772 (2003).
    4. Y. Tominaga, Y. Izumi, G.-H. Kwak, S. Asai, M. Sumita*, Materials Letters, 57 (4), 777-780 (2002).