振動絶縁装置
電子装置を用いないアクティブ免震装置
近年,日本を初め世界各地で地震による被害は後を絶たない.そのため,地震による建物倒壊や,人的被害を防ぐために,油圧アクチュエータを用いたアクティブ免震・制震装置が注目されている.従来のアクティブ装置は,センサで検出した状態量を電気演算装置によって処理をし,アクチュエータを制御している.しかし,建物の寿命に対し,ハードウェアおよびソフトウェアは数年単位で変化するため,頻繁に更新しなければならず,メンテナンスが課題となっている.さらに,震災時の断線などにより,電気系統が遮断されてしまうと,装置自体が正常に機能しなくなる可能性もある.現在のような電子制御器が開発される以前は,振り子など機械的な要素によって制御が行われていた.それに倣い,本研究では,従来の問題点を解決するため油圧アクチュエータを制御していた電気演算装置を,リンク機構などを用い機械的に制御することにより,機構の長寿命化を図り,また,機構の動力をアキュムレータなどに置き換えることで,完全に電源を廃した構造を目指し,実際のビルを想定したシミュレーションを行った.また,本研究はソルーション株式会社と共同研究である.
油圧アクティブエンジンマウント
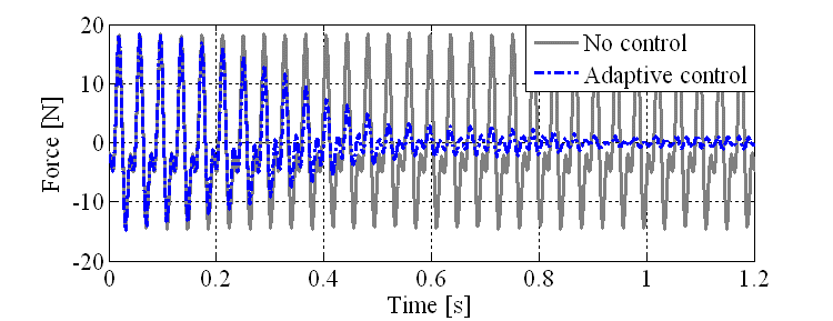
近年,自動車業界において燃費規制が強化されており,燃費の向上に寄与する技術の開発が求められている.燃費向上の手段の一つにガソリンエンジンからディーゼルエンジンへの代替がある.ディーゼルエンジンは圧縮比を大きくすることができ,熱効率が高い.しかしこのことにより,空気を圧縮した直後の燃焼爆発によってピストンが押し下げられることにより生じるエンジントルクの変動も大きくなるので,振動の悪化につながる.そこで,低燃費と快適性を両立するために,エンジンの振動伝達を低減するアクティブエンジンマウント技術が開発されている.アクティブエンジンマウントの制御方式としては,主に適応フィードフォワード制御が提案されている.この手法では,電磁アクチュエータに加え,複数のセンサを使用することからシステムコストが高くなる問題がある.
また,従来はアイドリング時のように周波数一定のエンジン振動のみを対象としており,加減速時のように周波数が変化するエンジン振動に対しては考慮されていない.適応制御では,エンジン振動の周波数に適した制御器を繰り返し計算により導出するが,加減速時のように対象の周波数が変化する場合は制御器のパラメータが最適値に落ち着かないことが予想される.
そこで本研究では,油圧アクティブエンジンマウントの実用的な制御手法として,従来よりセンサ数を低減する制御手法,及び加減速時の振動伝達を低減する制御手法について提案する.

エンジンから車体への振動伝達力